简体
繁体
加入收藏
智能
搜索
首 页
走进田家庵
政府信息公开
政务服务
互动交流
数据发布
您的位置:
首页
>
信息公开
> 田家庵区曹庵镇
>
权力运行结果
索
引
号:
3004357/202307-00011
信息分类:
权力运行结果
内容分类:
发布日期:
2023-07-04 09:27
发布机构:
田家庵区曹庵镇
成文日期:
生效时间:
废止时间:
名
称:
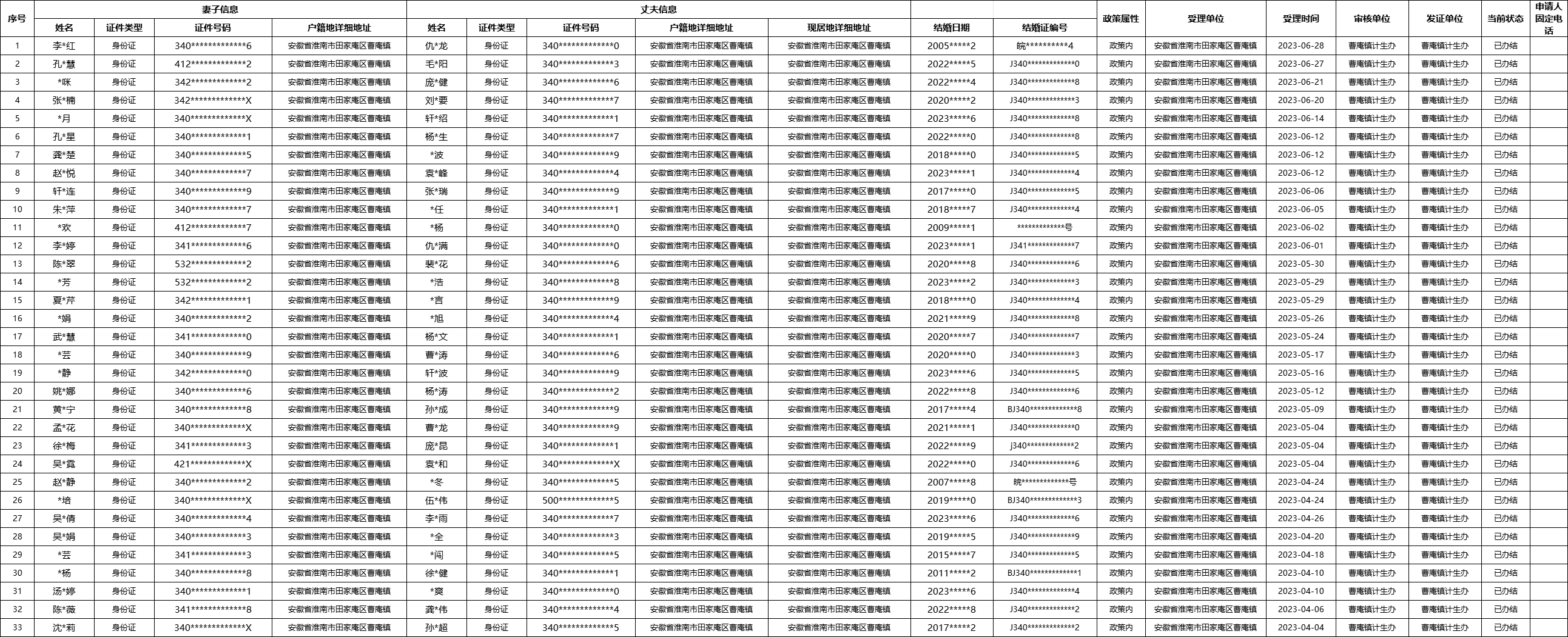
2023年曹庵镇第二季度权力运行结果
点
击
量:
文
号:
关
键
词:
索
引
号:
3004357/202307-00011
信息分类:
权力运行结果
内容分类:
发布日期:
2023-07-04 09:27
发布机构:
田家庵区曹庵镇
成文日期:
生效时间:
有
效
性:
名
称:
2023年曹庵镇第二季度权力运行结果
点
击
量:
文
号:
关
键
词:
2023年曹庵镇第二季度权力运行结果
发布时间:2023-07-04 09:27
信息来源:田家庵区曹庵镇
文字大小:[
大
中
小
]
背景色:
正在更新中...
为进一步了解掌握社会公众对政策执行效果的反馈与评价,请您对该政策的制定及执行提出宝贵的意见或建议。我们将及时收集并分析,共同助力政策不断完善。
姓 名:
联系方式:
*
内 容:
*
验 证 码:
打印本页
网站导航
省直部门网站
市政府部门网站
区县政府网站
其他网站